Tips für 18 tägigen Westcoast-Aufenthalt mit Mix aus Cities und Natur!

    Diese Seite verwendet Cookies. Durch die Nutzung unserer Seite erklären Sie sich damit einverstanden, dass wir Cookies setzen. Weitere Informationen

    • Verdana330 schrieb:

      Die Route wäre ja quasi am logischsten von der reinen Fahrtstrecke her. Ich hatte mich in meinem Entwurd jedoch dagegen entschieden
      Ah okay, das finde ich interessant. Etwas kreuz und quer fahren finde ich auch nicht schlimm. Wir hatten in diesem Jahr Zion - Page - Grand Canyon North Rim - Escalante gemacht, da wäre erst North Rim und dann Page auch sinnvoller gewesen. Ich wollte jedoch vor unserem Rim to Rim Hike noch ein paar Tage mehr Höhenluft auf dem Colorado Plateau haben :)
      Zweimal an einem Ort übernachten ist in jedem Fall vorzuziehen, das seh ich auch so.

      Verdana330 schrieb:

      Anfahrt zum Toroweap nehmen wir aber bewusst in Kauf, denn die einsamen Momente in grandioser Natur muss man sich eben auch mühsam "verdienen". Dafür hat man hier eben keinerlei Massentourismus und kann einfach mal eine Stunde oder so die Einsamkeit der Natur genießen... ein toller Kontrast zu den anderen Mainstream Destinationen unserer Reise....
      Yep, das klingt super. Sehen wir auch so, und man weiß ja hier im Forum nie so genau, wie die Leute ticken. Wir sind ja eine Sammlung von ganz verschiedenen Typen. :D Auf jeden Fall muss dann ein Bericht vom Abstecher nach Toroweap hier sein! (Auf meiner Liste steht das nämlich auch noch.)

      Verdana330 schrieb:

      weil Google Maps 6-7 Stunden Fahrzeit bis Grand Canyon vorsieht und wir somit noch ein paar Stunden am Tag Luft haben.
      Die würde ich (das ist meine persönliche Meinung) am Grand Canyon investieren, um auch etwas abseits der Massen am Rim ein schönes Plätzchen für den Sonnenuntergang zu erwischen (und nicht am Mather Point zerquetscht zu werden).
    • Ich werde wohl nochmal leicht an der Tour feilen....

      Wir haben das Gefühl, mit einer Übernachtung in L. A. doch zu kurz zu liegen und planen, dort um eine Nacht zu verlängern. Da wir trotzdem gerne so wie ursprünglich geplant in Las Vegas ankommen möchten (sonst haben wir nämlich ne Übernachtung von Freitag auf Samstag drin, wovon vielfach abgeraten wird), ist die Überlegung, eine Nacht zwischen den beiden Steps heraus zu nehmen. Im Moment ist die Tendenz, auf den Ausflug zum Monument Valley zu verzichten. Habe mir ein paar Youtube Videos dazu angesehen. Es ist sicher beeindruckend und toll. Da wir aber ja auch die ganzen anderen Canyons sehen, kommt es glaube ich auf das Valley nicht mehr zwingend an, zumal es auch eine recht teure Angelegenheit ist (der Reiseführer schreibt von 60 USD für eine Tour durchs Valley; es wird davon abgeraten, mit dem eigenen Fahrzeug zu fahren).

      Oder denkt ihr, wir liegen mit dieser Entscheidung schief und sollten lieber Zion oder Bryce heraus nehmen? Toroweap und eins der beiden Coyote Buttes ist auch gesetzt, sofern wir ein Permit bekommen.

      Mich interessieren mal eure Meinungen, da es immer schwer ist, sowas nur von Bildern oder einem Youtube Video zu beurteilen. Es entstand aber etwas der Eindruck, dass Monument Valley doch sehr preisintensiv für das Gebotene ist....
    • Toroweap hatte ich für 2009 und 2011 auch auf dem Plan und habe es beide Male wieder gestrichen... irgendwann will ich dort hin, klar... aber dafür aufs Monument Valley verzichten? Im Leben nicht!

      Es erlebt nicht jeder gleich, soviel ist mal klar... aber für mich gehört das Monument Valley zu den Top 5 im Südwesten!! Ich war 2009, 2011, 2013 dort und ich werde auch 2014 wieder eine Nacht dort verbringen!

      Die Tour durchs Tal kann man absolut problemlos mit dem Mietwagen fahren... halt mit der gebotenen Vorsicht. Wir haben im 2009 ein Wohnmobil gesehen, das vom Loop zurückkam...

      Ins Monument Valley geht man ja nicht dem Valley wegen, sondern wegen den Tafelbergen und anderen Felsformationen... Sonnenauf- und Untergang sind (gutes Wetter vorausgesetzt) der Oberhammer!
    • Stephan73 schrieb:

      Die Tour durchs Tal kann man absolut problemlos mit dem Mietwagen fahren... halt mit der gebotenen Vorsicht.
      Würde ich auch so sehen. 2010 fand ich die Piste allerdings schon recht mies (im Vergleich zu 2006). Trotzdem würde ich keine Tour buchen. Die fahren Dich in einem offenen Jeep über die Piste und hinterher bist Du quasi rot gepudert. Das würde ich nicht machen. Dann lieber ein Auto mit höherem Radstand und selber fahren. Wenn ich MV noch nie gesehen hätte (und wüsste, daß sich die Gelegenheit für eine nächste Reise bietet), würde ich auch Toroweap dafür verschieben. Teuer ist dann im MV "nur noch" das The View. Und es lohnt sich.

      Im Wohnmobil würde ich übrigens nicht über den Valley Drive fahren.

      Was wollt Ihr in LA sehen? Davon abhängig würde ich die Länge des Aufenthaltes planen. Normalerweise stehen auf dem Programm: Santa Monica, Venice, Beverly Hills, Hollywood und evtl. Griffith Park. Viel Zeit kosten nicht die einzelnen Punkte, sondern die Eierei mit dem Auto von A nach B.
    • Wir wollen in L.A. folgendes besuchen:
      - Beverly Hills incl. Mulholland Drive
      - Hollywood
      - Downtown
      - Santa Monica

      Das Ganze möglichst gemütlich und nicht nur durchs Autofenster..... daher bin ich der Meinung, am Anfang etwas zu knapp geplant zu haben.

      Vielleicht machen wir´s dann einfach so, dass Toroweap & Coyote Buttes North / South eine entweder / oder Entscheidung werden, so dass wir das Monument Valley drin lassen. Ich vertraue euch da einfach mal. :tada:

      Mir ist nun aber noch eine andere - wie ich finde schon fast geniale :thumbup: - Idee gekommen! Gerade um bei Coyote Buttes mit Permits, die am Vortag geholt werden müssen, ein wenig Flexibilität mitzubringen, wäre es doch klasse, Kanab als Ausgangsbasis für das komplette Utah-Programm zu nehmen. Also vom Monument Valley nach Kanab und dort jeden Morgen eine andere Aktivität starten: Bryce, Zion, Coyote Buttes, vielleicht Toroweap am letzten Tag. So könnte man mehrfach sein Glück bei den Verlosungen versuchen, ist jeden Tag flexibel, was das Aktivitätenprogramm angeht und spart sich mehrfaches lästiges Kofferpacken. Sehe da fast nur Vorteile, bis darauf, dass man nicht - wie empfohlen - um 9 Uhr am Bryce ist, wenn man nicht sehr früh aufstehen möchte. Ich denke, dieser Kompromiss wäre gut! In Springdale verpassen wir glaube ich auch nicht viel, wenn wir dort nicht übernachten....

      Schaut doch mal auf meine neue Ablauftabelle, die ich den neuen Gedanken entsprechend angepasst habe. Ich glaube, ich hab´s. Findet ihr das Ende mit Yosemite und San Francisco so Ok? San Francisco ist sicher kein Thema, da wir Städte lieben aber Yosemite bin ich nicht sicher, ob es zu lange ist (rein in den Park, raus aus dem Park, am nächsten Morgen wieder rein.....). 100% sicher ist auch noch nicht, ob nach L. A. Palm Springs ein lohnender Besuch ist oder ob die Übernachtung doch eher in Twentynine Palms i. V. m. dem Joshua Tree Park stattfinden sollte (auf den Fotos finde den Park jetzt nicht so weltbewegend).
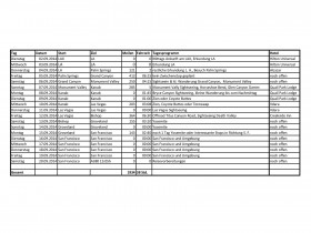
      Bilder
      • Amerika-page-001.jpg

        282,2 kB, 1.754×1.240, 124 mal angesehen
    • Ich finde die Idee auch ganz gut. Ihr müsst auch nicht um 9 Uhr am Bryce sein. Es ist dort sowieso voll, egal wann Ihr ankommt, und Sonnenaufgänge könnt Ihr woanders schöner erleben (finde ich), z.B. Grand Canyon oder MV. Mit mehreren Nächten in Kanab seid Ihr flexibel und es ist entspannter. Kanab ist eigentlich ganz hübsch und ich schätze, daß sich dort in den nächsten Jahren noch einiges tun wird, da Page inzwischen so verdammt teuer geworden ist. Kanab ist auch ein guter Ausgangspunkt für einen Besuch am North Rim des Grand Canyon.

      Das Programm für LA sieht doch gut aus. Am Ankunftstag könnt Ihr noch (ist das Hotel in Flughafennähe?) nach Santa Monica fahren, das dauert im Idealfall ca. ne halbe Stunde. Ich weiß nicht, was Ihr in Downtown sehen wollt (ich finde die Skyline von weitem interessant). Für den Rest braucht Ihr eigentlich keinen ganzen Tag. Durch Beverly Hills kann man super durchfahren (und sich dabei die schönen "kleineren" Villen anschauen, denn die Villen der Superreichen sind so gut geschützt, daß man von der Straße aus nix sieht), um anschließend nach Hollywood zu kommen und dort ein bißchen über den Hollywood Boulevard zu bummeln. Also würde es klappen, nachmittags noch nach Palm Springs zu fahren (Rush Hour muss dabei berücksichtigt werden).

      Verdana330 schrieb:

      Joshua Tree Park stattfinden sollte (auf den Fotos finde den Park jetzt nicht so weltbewegend).
      Da hast Du Recht, auf vielen Fotos kommt der Park nicht gut zur Geltung. Ist mir auch beim Raussuchen meiner Fotos für den letzten Reisebericht wieder aufgefallen. Vor Ort ist die Wüstenlandschaft unglaublich schön (und es ist dort nicht so überlaufen wie in anderen Parks). Ich fand auch die Durchquerung des Parks auf der Pinto Basin Road sehr schön (und wir haben da ne Wüsten Schildkröte gesehen).
    • Dank eurer Mithilfe sind wir ja sehr schnell sehr weit gekommen. :super:

      Ich glaube, dass wir bloß noch Palm Springs heraus nehmen, da es wohl nicht viel bringt, dort hin zu fahren, wenn man nicht mit der Seilbahn auf den Berg hochfährt. Und von Natur, Bergen etc. haben wir ja die Woche drauf genug!

      Dahin gehend habe ich nochmal den Gedanken mit Phoenix aufgegriffen. Gibt man LA-Grand Canyon ein, fährt man lt. Google Maps insgesamt nur ca. 1,5 Stunden weniger als wenn man über LA-Phoenix-GC fährt. Großer Vorteil wäre jedoch, dass man dann bei einem Zwischenstop in Phoenix statt in Palm Springs morgens die deutlich kürzere Anfahrt zum GC hat und trotzdem mal kurz Phoenix/Scottsdale sehen kann....
      Alternativ spukt es noch in unserem Kopf herum, doch den Joshua Tree Park zu besuchen und dann in Twentynine Palms zu übernachten..... müssen wir mal schauen....

      Wo ich nochmal euren Rat brauchen könnte, das wäre die Detailplanung für San Francisco. Ich bin schon ellenlang dabei, Hotels, B&B etc. heraus zu suchen. Der horrende Preislevel macht es nicht gerade einfach, etwas Passendes zu finden. Nachdem wir in LA und in Las Vegas große und etwas gehobene Hotels eingeplant haben, denken wir darüber nach, in San Francisco in einem alten viktorianischen Hotel / Bed and Breakfast zu übernachten. Dahin gehend haben wir

      1) The Inn B&B tripadvisor.de/Hotel_Review-g6…Francisco_California.html

      2) Chateau Tivoli B&B tripadvisor.de/Hotel_Review-g6…Francisco_California.html

      gefunden.

      Ersteres liegt im Mission District, wo man trotz der super Bewertungen auf anderen Homepages drüber liest, dass es eine nicht ganz so tolle Gegend sein soll.

      Das Zweite liegt im Alamo Square District, wo ich jetzt weder Positives noch Negatives finde, außer dass es halt auch nicht im Zentrum liegt aber das muss es auch nicht.

      In beiden Varianten kosten die in Frage kommenden Zimmer jeweils zwischen 250 und 315 USD. Parken würde bei beiden 18 bzw. 25 USD die Nacht kosten. Sicherlich ist beides nicht billig aber ich finde, man bekommt dafür ein tolles Ambiente geboten und wenn ich sehe, was es zu diesen Preisen alternativ für Hotels gibt, weiß ich nicht, ob wir nicht hiermit trotz etwas abseits gelegener Lage besser fahren. Rein vom Objekt her gefällt uns Variante 1 noch besser (die Stuckdecken und das Ambiente in #10 einfach der Hammer!). Was denkt ihr zu diesen Unterkünften?

      Alternativ hatten wir hier auf der Homepage auch das The Gables Inn Sausalito gefunden. Man zahlt je nach Zimmer evtl. minimal weniger und dann ist auch die Frage, ob man dafür aus San Francisco rausgeht....zumal das Gables Inn zwar auch sehr schick zu sein scheint aber nicht so den historischen Charme versprüht....

      Postet doch ruhig mal eure Meinung. Vielleicht kennt ihr ja sogar noch eine bisher nicht genannte B&B/Hotel-Alternative in SF, die den viktorianischen Stil widerspiegelt. Ich glaube, diese Chance hat man nur in SF.


      EDIT:

      Gerade habe ich noch das hier gefunden:
      airbnb.de/rooms/77656?checkin=…ckout=20.09.2014&guests=2

      Was ist davon zu halten? Für 122 Euro die Nacht muss doch ein Haken dran sein.

      Dieser Beitrag wurde bereits 1 mal editiert, zuletzt von Verdana330 ()

    • Was wäre denn mit der Überlegung, Eure Route in LA zu starten, dann den Highway 1 hoch nach San Francisco, via Yosemite in den Osten und letztlich von Las Vegas zurückfliegen. Das düfte etwas Zeit sparen weil die Rückfahrt an die Küste wegfällt. Also quasi wie mein 2010er Urlaub (westkueste-usa.de/2010/mn_Reiseroute.htm), nur eben nicht in SF sondern in LA starten.
      Stefan Kremer
      (Webmaster von Westküste USA, USA Reporter und Great-West)
    • Stefan schrieb:

      Was wäre denn mit der Überlegung, Eure Route in LA zu starten, dann den Highway 1 hoch nach San Francisco, via Yosemite in den Osten und letztlich von Las Vegas zurückfliegen. Das düfte etwas Zeit sparen weil die Rückfahrt an die Küste wegfällt. Also quasi wie mein 2010er Urlaub (westkueste-usa.de/2010/mn_Reiseroute.htm), nur eben nicht in SF sondern in LA starten.


      Mmh, müsste ich mal überlegen und durchplanen..... überschlagen betrachtet, sparen wir zwar einen Tag Fahrerei in Richtung Grand Canyon aber brauchen dafür zwei Tage für den Highway 1. Vom Grand Canyon South Rim wiederum wird dann die Zeit für die Rückfahrt nach Las Vegas benötigt... Wir hatten das anfangs gar nicht überlegt, da der Highway 1 eigentlich südwärts befahren werden sollte (wg. "leichteren" Fotostops und der Sicht im Allgemeinen). Aber eine Option ist es auf jeden Fall dennoch.... preislich nimmt sich das für die Flüge nichts, habe ich gerade gecheckt. Prüfe es mal durch. Selbst, wenn es pari ist, spricht vieles für deinen Vorschlag, da man sich einen Tag relativ uninteressanter Fahrerei spart und stattdessen noch an der kalifornischen Küste unterwegs ist....

      Dein Urlaub ist auch nicht schlecht; v. a., da man erst südwärts auf dem #1 startet. Aber trotz dessen, dass wir die Arches nicht machen, wird´s wohl am Ende nicht langen, da wir großzügige Zeit für die Städte wählen möchten.

      Ich gebe zu, dass ich mich anfangs nur auf SFO als Endziel fixiert habe weil wir mal mit dem A380 fliegen wollten. Aber das ist bei so einem Urlaub sicherlich nicht die oberste Priorität....


      EDIT:
      Nochmal wegen des letzten Links bezüglich der Unterkünfte in SF.
      airbnb.de/s/San-Francisco--Kal…earch_by_map=true&zoom=14

      Die Seite bietet ohne Ende private Unterkünfte für einen Bruchteil des Preises von Bed and Breakfasts oder Hotels. Hier wird zwar nicht jeden Tag geputzt aber man bekommt tolle Zimmer oder gar Wohnungen, wie ich den zig verschiedenen Anzeigen entnehme. Ich glaube, das ist eine sinnvolle Alternative für SF. Schaut euch das mal an! Allein am Alamo Square kann man in mehreren klassischen viktorianischen Häusern für weit unter 200 Euro unterkommen.

      Dieser Beitrag wurde bereits 1 mal editiert, zuletzt von Verdana330 ()

    • Verdana330 schrieb:

      Die Seite bietet ohne Ende private Unterkünfte für einen Bruchteil des Preises von Bed and Breakfasts oder Hotels.
      Ich denke, daß es eine super Alternative ist. Ich hatte auch in diesem Jahr für Las Vegas bei airbnb geschaut und mich dann für VRBO entschieden, weil ich dort ein besseres Angebot bekommen hatte. Schau mal hier . Da gab es auch keinen täglichen Zimmerservice und das brauch ich bei drei Nächten in einem Appartment auch nicht. :)
      Deinen Link bzw. die Unterkunft, die sich dahinter verbirgt, finde ich sehr interessant. Parken kannst Du am Alamo Square allerdings total vergessen.

      Ich würde übrigens den Urlaub auch nicht vom A380 abhängig machen. Mir sind die Ausstattung (also z.B. Bestuhlung, Sitzabstand etc.) eines Fliegers und die Leistungen der Airline sehr wichtig und auch die Verbindung inkl. Umsteigen sollte gut passen. Das müsste für mich aber kein A380 sein. Ist auch nur eine von den dicken und vollgestopften Kisten, in denen man sich 12 Stunden irgendwie die Zeit vertreibt, um einen tollen Urlaub zu haben, oder?
    • Silke, du hast natürlich Recht, was den A380 angeht.

      Deine Unterkunft in Las Vegas sieht gut aus. Wenn man es sich mal recht überlegt, zahlt man die horrenden Aufpreise bei Hotelzimmern eigentlich nur für das Zimmermädchen, 24h Rezeption und andere Dinge, die viele sicherlich nicht brauchen. Wir werden dann auch mal in LA und Las Vegas entsprechend schauen. Die anderen Steps, wo wir je eine Nacht sind, nehmen wir als Hotel / Motel.

      Zum Alamo Square:
      Gibt es denn da weit und breit keine Parkhäuser? Die Gegend scheint ja sicher zu sein, da macht es mir auch nichts, wenn man etwas laufen muss. Oder würdest du sagen mit Auto geht das Gebiet auf keinen Fall. Wir sind hin und weg von der Lage und dem Haus (es gibt auch noch einige vergleichbare Angebote in benachbarten Häusern). Bei airbnb haben aber einige geschrieben, dass sie mit dem parken keine größeren Probleme hatten....
      Hattest du dir eigentlich mal die beiden anderen Links über San Francisco angeschaut? Mich interessiert noch, ob jemand etwas zu der Lage sagen kann (Mission District).
    • Verdana330 schrieb:

      Gibt es denn da weit und breit keine Parkhäuser?
      Ich glaub nicht, das ist ja eine Wohngegend. Ich kann mich nur erinnern, daß wir bei meinen letzten Besuchen 2010 und 2006 ewig gekurvt sind, um zu Parken.

      Die beiden anderen Hotels kenne ich nicht, die sehen jetzt aber nicht so schlecht aus. Letztlich musst Du überlegen, wo Du wohnen willst, ob Du das Auto dabei hast und wieviel Du ausgeben willst. Wir hatten bis jetzt immer auf der Lombard Street übernachtet, da es dort noch Hotels gibt, an denen man gratis parken kann. Dafür ist es unter Umständen laut und nicht sehr gemütlich. Würde ich beim nächsten Mal jedoch nicht machen, sondern San Francisco ohne Auto besuchen und ein kuscheliges Hotel suchen. Auf das Gables Inn bin ich z.B. nochmal scharf. Und Dein Haus von airbnb sieht auch echt süß aus.
    • CA, San Francisco: Cow Hollow Motor Inn , in den Hotelbewertungen

      irgend wie bekomm ich das mit dem verlinken nicht hin :dontknow:

      das ist auch ganz nett ,nicht laut und Frühstück gibts direkt gegen über !

      Sicherlich ist ein schönes Hotel mit Ambiente was tolles aber braucht man das , wenn man eh nur für ein paar Stunden zum schlafen da ist ?
      nach der Reise , ist vor der Reise
    • @Stefan:

      Ich habe die Idee mit Ende in Las Vegas mal durchgespielt aber dann verworfen. Man könnte die Reise schon so zusammenstellen und eine Nacht am Highway 1 gegen eine Nacht am Yosemite austauschen, wo sicherlich auch zwei Tage ausreichen. Aber die Flugzeiten von Las Vegas aus sind nicht der Knaller.

      Wir lassen den Highway 1 weiterhin draußen. Trotzdem haben wir eine neue Idee....
      Um die Distanz LA-Grand Canyon zum einen nicht zu lang und zum anderen nicht so uninteressant werden zu lassen, habe ich auf Google Maps gesehen, dass ein Zwischenstop in Las Vegas gar nicht schlecht wäre. Dort ist die Zeit sowieso nicht so üppig bemessen gewesen und man hat schonmal einen Nachmittag / Abend für Las Vegas, bevor man am Folgetag eine überschaubare Strecke an den Grand Canyon fährt.....

      Ich habe noch andere zwei entscheidende Fragen, bis ich fest zurre:
      1) Zum Aufenthalt in Kanab...... reichen dort drei Nächte oder sollte ich es besser auf vier ausdehen, auch wenn das bedeuten würde, dass dann eine Freitag-Samstag Übernachtung in Las Vegas dazu käme, da ich das Wochenende dann nicht mehr außen vor lassen könnte?
      Programm von Kanab aus wäre:
      - Bryce
      - Zion
      - Coyote Buttes North oder South
      - Toroweap
      - Coral Pink Sand Dunes
      - Cottonwood Canyon Road (diese mit Bryce via Rückfahrt zu kombinieren, wird zu knapp, oder?)

      2) Yosemite wäre im Moment am Wochenende auf dem Programm. Wird der Park nicht am Wochenende öfter wegen Überfüllung geschlossen. Wie sieht das im September aus? Oder kein Problem von dieser Seite aus? Auf der anderen Seite muss an ja irgendwo am Wochenende sein..... Las Vegas wird ja auch als suboptimal beschrieben....


      Viele Grüße und frohe Feiertage wünsche ich euch allen!
      Oliver
    • Hallo Oliver,

      Euer Programm in Kanab ist mit all den genannten Punkten
      schon recht vollgepackt für drei Nächte also max. drei Tage.

      Bryce Canyon plus Hin- bzw. Rückfahrt über die CCR sollte
      möglich sein…hatten wir auch schon so geplant aber wegen gesperrter Cottenwood
      Canyon Road dann doch nicht realisiert. Unbedingt den Zustand der ungeteerten
      Strecken in Kanab erfragen! Gerade die Sommermonate bringen reichlich Flash
      Floods und machen die Strecken im Grand Staircasee oft unpassierbar.

      Am zweiten Tag könnt Ihr zur „Wave“ wandern…oder CBS
      erkunden.

      Den Zion würde ich dann lieber am letzten Tag auf dem nach
      Vegas durchfahren und je nach Lust und Zeit einen kurzen Spaziergang unternehmen
      (z.B. Zion Overlook oder Riverside Walk).

      Wenn also alles perfekt läuft braucht Ihr also noch einen
      Tag für Toroweap, auch hier ist natürlich
      der Zustand der Piste ausschlaggebend.

      Vegas am WE ist meiner Meinung kein Problem, die Preise
      steigen und es sind ein paar Leute mehr in der Stadt…

      Zum Yosemite kann ich nichts sagen… wir sind bisher immer
      rein gekommen, allerdings weiß ich nicht mehr ob es gerade WE war.

      VG Bernd
    • Ich habe weiter gefeilt und mittlerweile nochmal riesen Fortschritte gemacht.

      Die ursprüngliche Route von LA nach SF ist nicht mehr aktuell! Nach dem Vorschlag von Stefan habe ich mal quer gedacht und zwei ganz neue Ideen verwirklicht. Beide Ideen beinhalten nun innerhalb der gleichen Reisedauer wie ursprünglich zusätzlich noch den Highway 1 incl. einer Übernachtung in Pismo Beach (wurde bewusst so gewählt, damit am nächsten Tag noch genug Zeit für LA bleibt). Das alles wurde aus meiner Sicht realisiert, ohne zusätzlichen Stress zu verursachen indem die Routen effizienter gestaltet und aufeinander abgestimmt wurden. Ebenfalls habe ich den An- bzw. Abflugtag versucht, vernünftig zu nutzen.

      Ich habe mehr oder weniger die identischen Reiseinhalte zusammengestellt. Mein Favorit ist Reise 1), jedoch habe ich mal beide gepostet um euer Feedback einzuholen. Ich finde beide Reisen toll und sie unterscheiden sich nur durch Nuancen.

      1) Von Las Vegas nach Los Angeles
      Vorteile gegenüber Reise 2:
      - eine Tagesetappe weniger zu fahren
      - ca. 250 Meilen weniger zu fahren
      - zwei zusammen hängende Nächte in Las Vegas
      - höchst effiziente Fahrtwege

      Nachteil:
      - weder Anfang noch Ende der Reise liegen in San Francisco, so dass ich den Mietwagen nicht früher abgeben bzw. später holen kann. Macht einen "Verlust" von ca. 120 Euro abzgl. der Fahrt mit dem Taxi zum SFO Airport, die mit 50 USD anfallen würde. Reise 2 wäre da etwas kostengünstiger.

      2) Rundreise von San Francisco nach San Francisco
      Vorteile:
      - Mietwagen könnte später geholt werden

      Nachteile:
      - Las Vegas mit zwei nicht zusammen hängenden Übernachtungen (würde aber trotzdem beide so belassen, da ansonsten zu wenig Zeit in Las Vegas vorhanden ist....)


      Jetzt bin ich wirklich gespannt auf euer Feedback. Werde dann kurzfristig noch sämtliche Unterkünfte verplanen und wenn meine Frau am Montag die Zusage für ihr Visum bekommt, wird direkt gebucht!


      Viele Grüße und noch einen schönen zweiten Weihnachtsfeiertag!
      Oliver
      Dateien
      • LAS bis LA.pdf

        (234,45 kB, 154 mal heruntergeladen, zuletzt: )
      • SF bis SF.pdf

        (232,2 kB, 142 mal heruntergeladen, zuletzt: )

      Dieser Beitrag wurde bereits 2 mal editiert, zuletzt von Verdana330 ()

    • Du machst Dir ja echt viele Gedanken :super:

      Mir gefällt Route 1 besser. Ich würde zwei zusammenhängende Tage in Las Vegas bevorzugen, damit genügend Zeit für Hotelbesichtigungen, Shopping etc. bleibt. Zudem ist es immer entspannter, nicht gleich nach einer Nacht weiter zu müssen. Übernachten in der Bright Angel Lodge ist übrigens toll, die ist so wunderschön rustikal und man kann abends direkt vor der Lodge den Sonnenuntergang anschauen (oder das kurze Stück zum Trailview Overlook am Rim entlang laufen und von dort schauen).
      Nun gut, dann hättet Ihr in SFO eben das Auto dabei. Find ich jetzt nicht so schlimm.
    • Ich bin auch für Route 1 und was eure Unterkunft in San Francisco angeht, so kann ich nur immer wieder das "Coventry Motor Inn" empfehlen. Der Preis ist für S.F. wirklich akzeptabel, die Zimmer sind sehr geräumig und Parken ist kostenlos. Einen Block vom Motel entfernt fährt eine Buslinie, mit der man überall hinkommen kann. Bis zur Fishermans Wharf kann man laufen, das dauert vielleicht 20-30 Minuten. In San Francisco machen wir ohnehin fast immer alles nur zu Fuß.

      AirBnB haben wir für unseren Urlaub nächstes Jahr auch sehr häufig genutzt in den Großstädten. Finde ich also grundsätzlich ne gute Sache, in San Francisco und New York laufen allerdings im Moment Gerichtsverfahren, daher wäre ich da eher vorsichtig und würde vorsichtshalber was anderes ggf. stornierbares in der Hinterhand behalten.
    • So, das war´s! Kann vermelden, dass dem Urlaub nun nichts mehr im Wege steht, da meiner Frau ein Visum erteilt wird!

      Allerdings gab man sich nicht mit den vorausbezahlten 160 USD zufrieden sondern verlangte nochmal 100 USD zusätzlich (ist wohl an die Nationalität geknüpft). Aber egal; Hauptsache, es ist durch.


      @Stürmchen:
      Was für Gerichtsverfahren meinst du denn? Ich hatte das Coventry Motor Inn gesehen und finde, dass es nicht wert ist, dafür 650 Euro zu bezahlen wenn wir für exakt den gleichen Preis individuell in einer Painted Lady mit deutlich höherem Niveau bleiben können (allein das Luxusbad ist ein Traum). Ich finde, dem Coventry Motor Inn fehlt dagegen irgendwo das Quentchen Besondere. Und gerade bei fünf Nächten Aufenthalt wählen wir dann schon sehr genau. Es wäre klasse, wenn du zu den Gerichtsverfahren noch kurzfristig etwas sagen könntest, denn ich muss bis heute Abend unsere Option für Airbnb bestätigen und zu einer Fixbuchung machen....

      Für LA wollen wir übrigens auch gerne mit Airbnb buchen genau wie in Kanab.